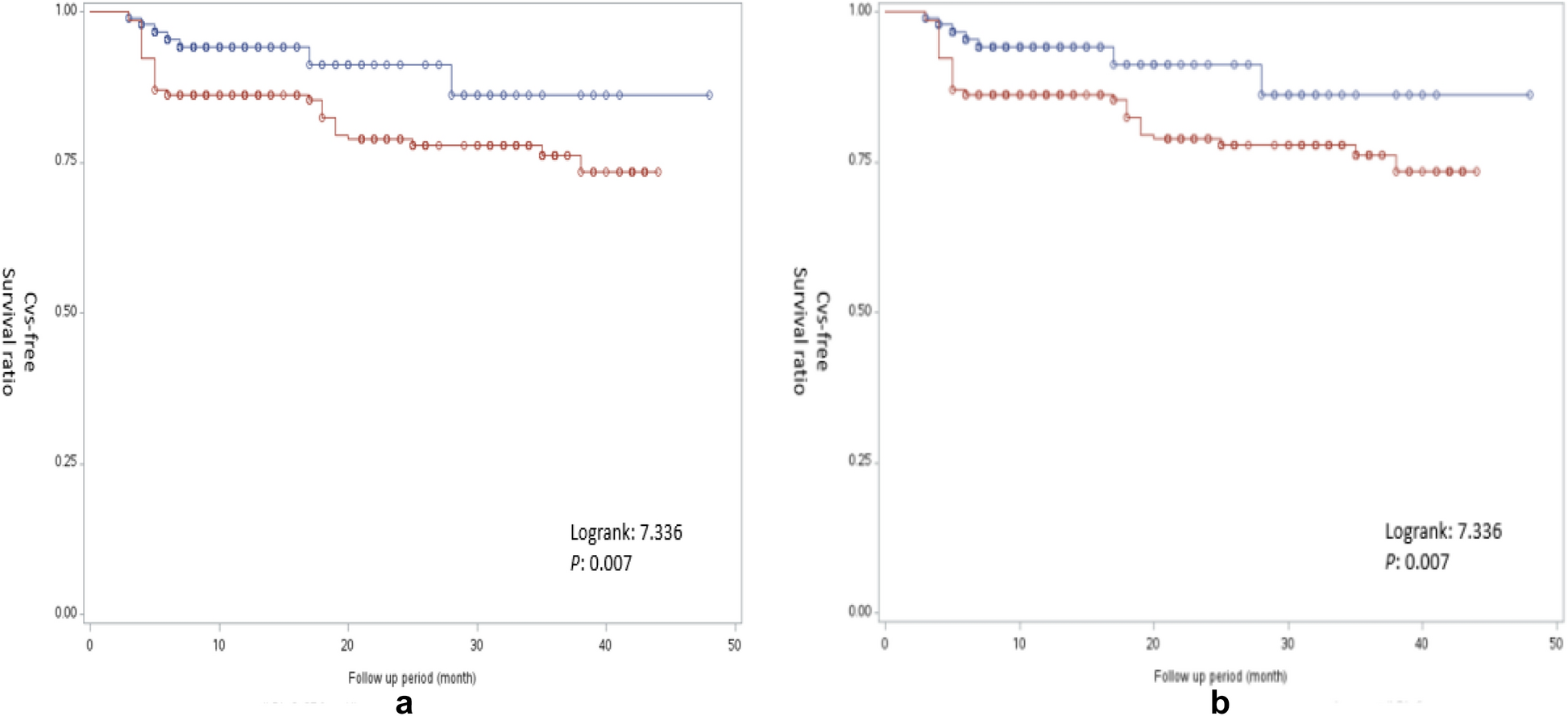
Fig. 1

The Kaplan–Meier event free survival of patients stratified by the median small dense low-density lipoprotein cholesterol (sdLDL-C) concentration (26 mg/dL). a All patients, b patients treated with statins

The Kaplan–Meier event free survival of patients stratified by the median small dense low-density lipoprotein cholesterol (sdLDL-C) concentration (26 mg/dL). a All patients, b patients treated with statins