Fig. 1
From: Reducing effect of insulin resistance on alpha-synuclein gene expression in skeletal muscle

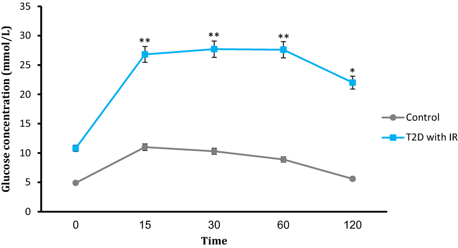
Variations of glucose concentrations after oral glucose tolerance test in insulin resistant diabetic mice compared with healthy control
From: Reducing effect of insulin resistance on alpha-synuclein gene expression in skeletal muscle

Variations of glucose concentrations after oral glucose tolerance test in insulin resistant diabetic mice compared with healthy control